O cálculo de rating para indicadores de resultado parte do modelo de ajuste de risco, permitindo assim a comparação de prestadores com realidades diferentes. Assim, o modelo de ajuste de risco é utilizado para calcular o valor de referência específico de cada prestador, com base nas características de cada doente recebido e respetivos diagnósticos e procedimentos efetuados.
Regressão logística
O modelo de regressão logística é utilizado para calcular a probabilidade esperada de determinado evento de interesse, tendo em consideração as características específicas de cada doente e respetivos diagnósticos e procedimentos recebidos. O modelo de regressão logística é dado pela seguinte fórmula:

As variáveis utilizadas para ajuste de risco e respetivos coeficientes variam de acordo com o indicador e baseiam-se num modelo de regressão logística desenvolvido e largamente testado pela Joint Commission. Deste modo, conhecendo as variáveis e respetivos coeficientes é possível calcular a probabilidade esperada de determinado evento para cada indivíduo em particular, independentemente do prestador onde é tratado.
Odds ratio
Para se proceder à inferência estatística sobre os resultados observados, é calculado para cada prestador um odds ratio (OR). O OR pode ser interpretado como um indicador do risco relativo e designa o rácio do odds observado-esperado, sendo calculado através da seguinte fórmula:
O resultado esperado para cada doente é uma observação binária, d, em que d = 1 representa a ocorrência de um determinado evento (exemplo: o doente morreu) e d = 0 representa a não ocorrência do mesmo (exemplo: o doente sobreviveu). A probabilidade p'i é função de pi e do OR (parâmetro a estimar que é constante para todos os doentes no mesmo prestador):
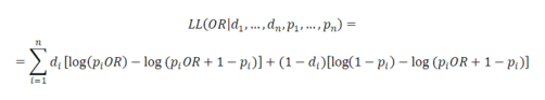
Para o cálculo do OR é utilizado o método de máxima verosimilhança. A verosimilhança de OR com base nos dados de cada prestador é dada por:
O estimador da máxima verosimilhança para o OR é o valor de OR que maximiza a log-verosimilhança:
Para o cálculo do intervalo de confiança para o OR, considera-se a razão de verosimilhanças dada por:
Assim, e através do teste de razão de verosimilhanças, é possível obter um intervalo de confiança. Para atribuição de rating, é utilizada uma regra de classificação com base no intervalo de confiança estimado para OR.
Se o intervalo de confiança para OR contiver o valor 1, significando que o odds observado não difere estatisticamente do odds esperado, atribui-se ao prestador o nível de qualidade II. Um intervalo de confiança para OR inferior a 1 indica que o odds observado é inferior ao esperado. Um intervalo de confiança para OR superior a 1 indica que o odds observado é superior ao esperado. Nestas situações a classificação no nível de qualidade I ou III é atribuída consoante a direção de melhoria do indicador em análise.